함수의 푸리에 변환
delta 함수
임펄스를 나타낼 때 사용하는 $\delta(x)$ 에 대한 푸리에 변환을 구하기

$$
\delta(x) \Leftrightarrow 1
$$
ㅤ
$x(t-t_0)$

$$
x(t-t_0) \Leftrightarrow X(\omega)\cdot e^{-j\omega t_0}
$$
ㅤ
$x(t) * h(t)$
컨볼루전은 $x(t)$ 가 $h(t)$ LTI 시스템을 통과할 때의 출력을 구하는 것이라고 보면 됨

$$
x(t)_h(t) \Leftrightarrow X(\omega)_H(\omega)
$$
ㅤ
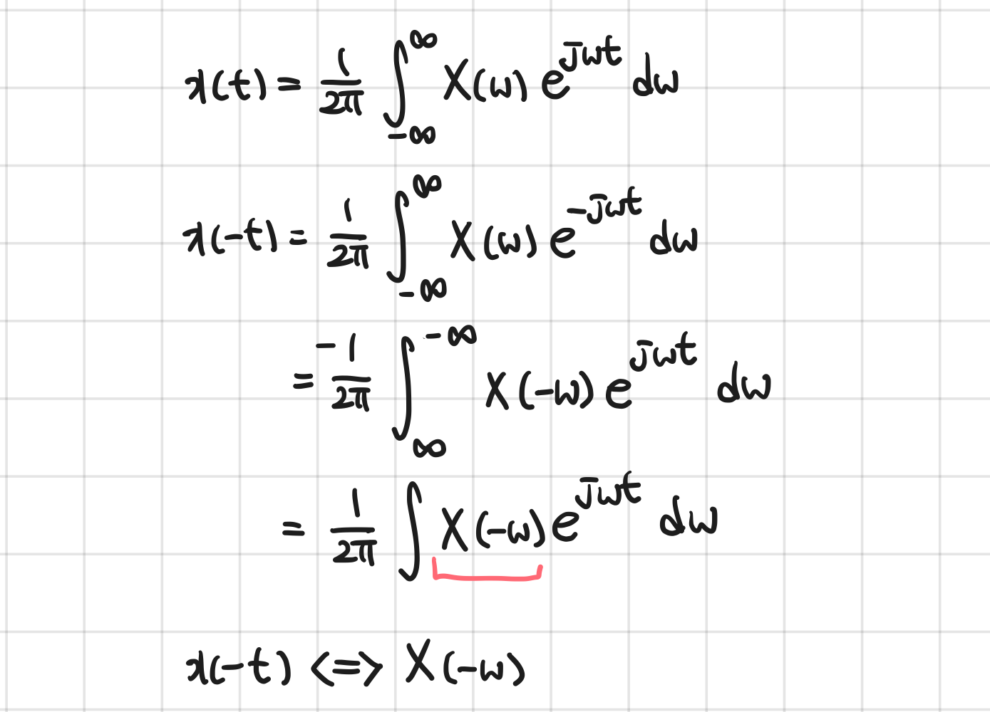
$x(-t)$

$$
x(-t) \Leftrightarrow X(-\omega)
$$
ㅤ
$x^*(t)$
여기에서 *는 켤레복소를 찾는 것을 말함!

$$
x^*(t) \Leftrightarrow X^*(-\omega)
$$
ㅤ
Duality
$x(t) \Leftrightarrow X(\omega)$ 변환을 만족하는 수식을 찾았을 때, $X(t) \Leftrightarrow \text{?}$ X를 다시 시간 도메인을 전달한다면 주파수 도메인을 받는 함수는 어떤 형태일까.

$$
X(t) \Leftrightarrow 2\pi x(-\omega)
$$
ㅤ
주기 함수의 푸리에 변환
푸리에 변환은 비주기함수에 대해서 입력을 복소 함수로 출력하도록 변환을 적용하는 것이다. 그런데, 주기함수의 형태를 가지고 있는 비주기함수라면 푸리에 변환을 적용할 수 있을까?
ㅤ

ㅤ
$t_0$ 이전까지는 cos 함수의 형태를 가지다가 $t_0$ 시점부터 다른 형태를 가지는 함수는 비주기함수이다. 그렇다면 $t_0\rightarrow\infty$ 로 보낸다면 이건 주기함수일까 비주기함수일까. 이 주기 신호 함수의 형태를 비주기함수의 신호라고 생각한다면 푸리에 변환을 충분히 적용할 수 있다.
ㅤ
비주기 함수일 때 푸리에 변환을 적용할 수 있다고 했지, 비주기 함수여야 푸리에 변환을 적용할 수 있다고 하지는 않았다. (충분조건) 주기함수 중에서도 푸리에 변환을 적용할 수 있는 함수들이 있다.
ㅤ
cosine의 변환
$cos(\omega_0 t)$ 에 대해 푸리에 변환을 적용해보자. 이 과정에서는 복소 지수 $e^{-j\omega_0t}$ 를 삼각함수 형태로 풀어서 적용해주면서 식을 풀어나갈 수 있다. 이를 통해서 테크닉을 적용하면 주기함수에 대해서도 푸리에 변환을 적용할 수 있음을 확인 가능하다.

ㅤ
그런데, 의문이 들어서 조금 더 찾아봤다. 푸리에 변환은 비주기 함수에 대해서만 적용할 수 있다고 했는데, 주기 함수의 형태로 막 바꿔도 문제가 없나? 심지어 여기에서는 구간을 0~T 로 나눈다거나 하는 과정도 없었어서 좀 더 찾아봤다.
ㅤ
주기 함수도 푸리에 변환이 수학적으로는 가능하지만, 그 결과에 델타 함수들이 포함된다. 그래서 일반적인 비주기함수(일반함수)에 대해서는 연속된 $F(\omega)$가 푸리에 변환의 결과로 나오지만, 주기 함수에 대해서는 델타함수들의 합이 푸리에 변환의 결과로 나온다. 이는 푸리에 급수를 주파수 영역에서 표현한 것과 동일하다. → 델타 함수를 통해서 이산 스펙트럼을 표현한다.
ㅤ
정확히 이게 무슨 말인지는 파악하지 못한 것 같은데, 푸리에 변환 식에서 델타 함수들이 눈에 들어오면 ‘주기함수에 대한 변환식이구나’ 라고 생각해도 될 것 같다. 아마 다음 챕터인 이산 푸리에 변환 파트에서 다루지 않을까 기대가 된다. 😁
ㅤ
delta train 의 변환
델타 트레인의 변환에서는 앞서 살펴봤던 복소 지수함수의 푸리에 변환을 활용한다.

ㅤ
여기에서도 결국에는 주기 함수의 푸리에 변환인데, “이산 주파수에서만 델타 함수를 가지”기 때문에, 연속적인 스펙트럼을 가지지는 못한다. 그래서 비주기 신호에서 가지는 연속된 스펙트럼 $F$와는 차이가 있다고 한다.
ㅤ
이후에 미분에 대한, 단위 계단 함수에 대한 푸리에 변환들이 주르륵 등장하는데, 시스템에 대한 이해가 먼저라고 생각해서 이후에 필요할 때 한 번 씩 정리하면서 진행해볼 계획이다.
ㅤ
샤라웃
혁펜하임의 “퍼펙트” 신호 및 시스템 (Signals & Systems)
혁펜하임의 “퍼펙트” 신호 및 시스템 (Signals & Systems)
수백명의 A+를 배출한 미친 강의!
www.youtube.com
'Embedded System > 신호 및 시스템' 카테고리의 다른 글
| [신호및시스템] Phase 3-2 - 이산 푸리에 변환 (0) | 2025.10.07 |
|---|---|
| [신호및시스템] Phase 3-1 - 이산시간 푸리에 급수와 푸리에 변환 (0) | 2025.10.04 |
| [신호및시스템] Phase 2-2 - 주파수 도메인 분석 - 푸리에 변환 (0) | 2025.10.04 |
| [신호및시스템] Phase 2-1 - 주파수 도메인 분석 - 푸리에 급수 (0) | 2025.09.28 |
| [신호및시스템] Phase 1 - LTI, Convolution 그리고 LCCDE (0) | 2025.09.27 |